インフルエンザが再流行、学級閉鎖等は1万施設以上 4枚目の写真・画像 | NewsCafe

インフルエンザが再流行、学級閉鎖等は1万施設以上 4枚目の写真・画像

子育て・教育 リセマム/生活・健康/その他

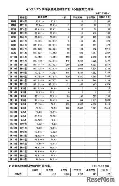
インフルエンザ様疾患発生報告における施設数の推移
画像出典:厚生労働省 インフルエンザ様疾患発生報告における施設数の推移

この記事の写真

/

特集

アクセスランキング

  1. 「キンパとおにぎり」赤楚衛二&カン・ヘウォン、相合傘ショットに反響相次ぐ「ポーズお揃いで可愛い」「お似合い過ぎる」

    「キンパとおにぎり」赤楚衛二&カン・ヘウォン、相合傘ショットに反響相次ぐ「ポーズお揃いで可愛い」「お似合い過ぎる」

  2. にじさんじ人気VTuber集結のバラエティ第3弾、場面カット解禁 カウントダウンウォッチパーティも開催

    にじさんじ人気VTuber集結のバラエティ第3弾、場面カット解禁 カウントダウンウォッチパーティも開催

  3. 【高校受験2026】佐賀県立高、一般選抜の出願状況(2/17時点)佐賀北1.61倍

    【高校受験2026】佐賀県立高、一般選抜の出願状況(2/17時点)佐賀北1.61倍

  4. 「我慢しろって言うんですか?」いじめ相談に曖昧な対応をする教師に怒りが抑えられない【放置子の面倒を見るのは誰ですか? #22】

    「我慢しろって言うんですか?」いじめ相談に曖昧な対応をする教師に怒りが抑えられない【放置子の面倒を見るのは誰ですか? #22】

  5. 辻希美、次女のキュートなにっこりSHOT公開&最近ハマっているメニュー明かす「毎日焼いてます 笑。」

    辻希美、次女のキュートなにっこりSHOT公開&最近ハマっているメニュー明かす「毎日焼いてます 笑。」

ランキングをもっと見る