【高校受験2026】岡山県立高、募集定員は1万625人…前年度増減なし 1枚目の写真・画像 | NewsCafe

【高校受験2026】岡山県立高、募集定員は1万625人…前年度増減なし 1枚目の写真・画像

子育て・教育 リセマム/教育・受験/中学生

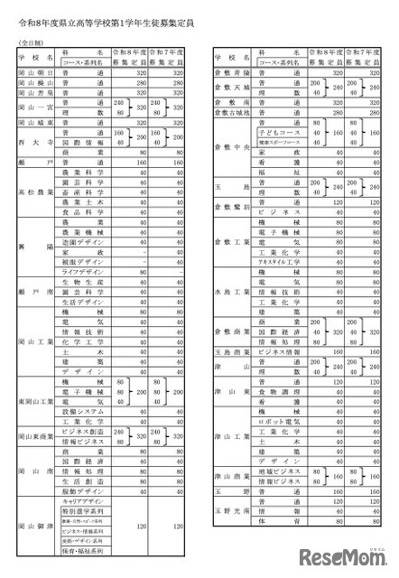
令和8年度県立高等学校第1学年生徒募集定員
画像出典:岡山県教育委員会 令和8年度県立高等学校第1学年生徒募集定員

この記事の写真

/

特集

アクセスランキング

  1. 3児の母・藤本美貴、親子連れ電車のリアルな悩み告白「混んでる時間帯に乗るなよと」車内で助けられたことも明かす

    3児の母・藤本美貴、親子連れ電車のリアルな悩み告白「混んでる時間帯に乗るなよと」車内で助けられたことも明かす

  2. 大食い女王・もえのあずき、SEXYラブブ仮装で美スタイル披露「攻めてる」「目のやり場に困った」の声

    大食い女王・もえのあずき、SEXYラブブ仮装で美スタイル披露「攻めてる」「目のやり場に困った」の声

  3. 地方出身の東大生は、高校受験きっかけで引っ越しをする!?有名私立校から東大を目指す人々の現実とは

    地方出身の東大生は、高校受験きっかけで引っ越しをする!?有名私立校から東大を目指す人々の現実とは

  4. 女性用風俗リピーターになったワケ。勧めたのは夫!そのきっかけがあって【マンガ・性のお悩み実録ch】

    女性用風俗リピーターになったワケ。勧めたのは夫!そのきっかけがあって【マンガ・性のお悩み実録ch】

  5. 意外と知らない生前贈与の新常識!2025年のうちに知っておきたい法改正後のポイント

    意外と知らない生前贈与の新常識!2025年のうちに知っておきたい法改正後のポイント

ランキングをもっと見る