【高校受験2026】千葉県公立高、一般選抜の志願状況(2/5時点)県立船橋(理数)2.23倍 1枚目の写真・画像 | NewsCafe

【高校受験2026】千葉県公立高、一般選抜の志願状況(2/5時点)県立船橋(理数)2.23倍 1枚目の写真・画像

子育て・教育 リセマム/教育・受験/中学生

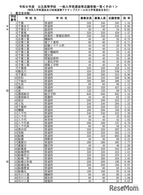
県立全日制
画像出典:千葉県教育委員会「令和8年度公立高等学校 一般入学者選抜等志願者数一覧」 県立全日制

この記事の写真

/

特集

アクセスランキング

  1. 八村倫太郎、本人役でNOAの恋敵「救い、巣喰われ」追加キャスト発表

    八村倫太郎、本人役でNOAの恋敵「救い、巣喰われ」追加キャスト発表

  2. 「今日好き」みなつ「顔本当に化け物でごめん」すっぴんで弟との動画公開「お顔そっくり」「いつもと雰囲気違う」と反響

    「今日好き」みなつ「顔本当に化け物でごめん」すっぴんで弟との動画公開「お顔そっくり」「いつもと雰囲気違う」と反響

  3. 田中れいな、美スタイル際立つセットアップSHOTに絶賛の声「似合っててかわいすぎっっ」「綺麗」

    田中れいな、美スタイル際立つセットアップSHOTに絶賛の声「似合っててかわいすぎっっ」「綺麗」

  4. 「そういえばコロナ以降ずっとだわ…」スキンケア&アイメイクでジプシー化した人が知らぬうちに間違えていた「決定的原因」

    「そういえばコロナ以降ずっとだわ…」スキンケア&アイメイクでジプシー化した人が知らぬうちに間違えていた「決定的原因」

  5. あの女に「夫の裏アカ」を見せられた!そんなの、持っていることすら知らなかった…【デブスの戯れ~あなたの夫は私のもの~ #34】

    あの女に「夫の裏アカ」を見せられた!そんなの、持っていることすら知らなかった…【デブスの戯れ~あなたの夫は私のもの~ #34】

ランキングをもっと見る